INTRODUCCIÓN
Como sabemos los juegos está a la
vanguardia y por ende deben poseer algoritmos complejos para dar la mejor
jugada al contrincante de esta forma maximizara la dificultad del juego a continuación
detallemos estos algoritmos de juegos.
MARCO TEÓRICO
QUÉ ES UN ALGORITMO MINIMAX
Este algoritmo trata de dos variables de
MAX y MIN en donde trata de maximizar los valores de MAX y minimizar los
valores de su contrincante, determinando los roles de juego tomando en cuenta
lo siguiente:
CARACTERÍSTICAS DE MINIMAX
·
P Su complejidad se determinada en base a sus reglas
·
Intervienen dos variables MAX y MIN
·
Cada jugador conocer el estado del otro
·
Posee una los valores de estado final
·
Posee carácter recursivo
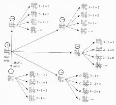
ESTRUCTURA MINIMAX

EJEMPLO:
Un clero ejemple es el juego de tres en
raya

CONCLUSIONES
Este algoritmo tienen la peculiaridad de siempre ganar y el contrincante llegaría
solo a empatar, en el cual existen 2 dos jugadores MAX y MIN en donde busca la necesidad
de minimizar los valores del contrincante para aumentar la dificultad.
BIBLIOGRAFÍA
Russell, S; Norvig, P.
2008. Inteligencia Artificial Un Enfoque Moderno. Segunda Edición.
Pearson Education. España
Rodríguez, J.2005.Minimax. (En
Línea).Consultado 19 de Nov.2015.Formato PDF. Disponible en:
http://www.itnuevolaredo.edu.mx/takeyas/Apuntes/Inteligencia%20Artificial/Apuntes/tareas_alumnos/Minimax/Minimax.pdf
Sánchez, Ana. 2011. Juegos con
Adversario Algoritmo Minimax. (En Línea).Consultado 19 de Nov.2015.Formato PDF.
Disponible en:http://www.it.uc3m.es/jvillena/irc/practicas/estudios/minimax.pdf





